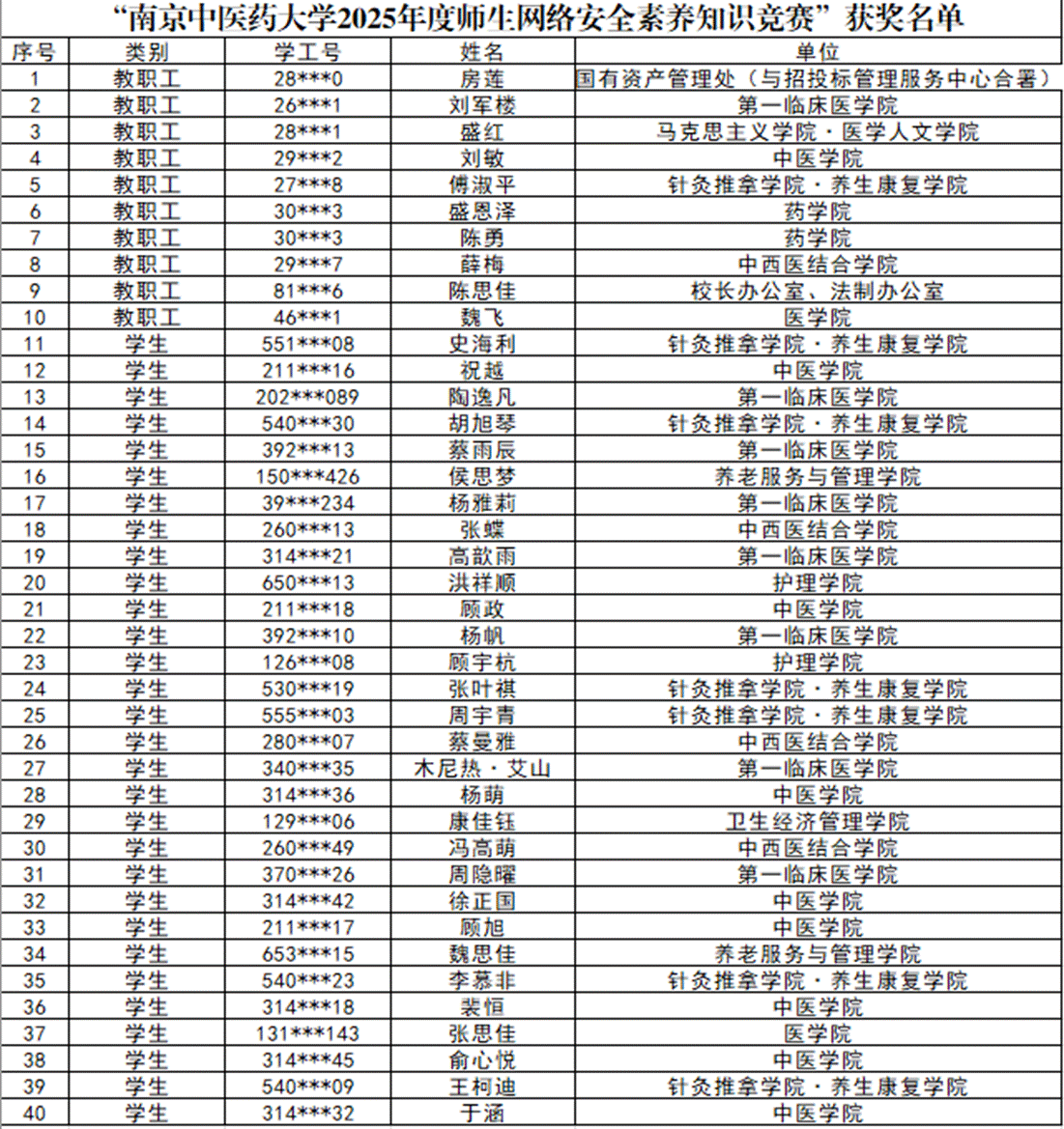
为深入贯彻《省教育厅办公室关于开展2025年江苏省教育系统网络安全宣传周校园日活动的通知》精神,进一步增强师生网络安全意识,提升网络安全防护技能,best365成功举办了2025年度网络安全素养知识竞赛。本次竞赛根据答题得分(大于等于80)随机抽取出获奖者40名(学生30名,教职工10名),现将本次竞赛获奖名单(见下文)予以公布,获奖者请于9月28日前工作时间内至图书馆112室现场领取奖品。
详情可咨询025-85811568袁老师、闫老师。
网络安全与信息化中心
2025年9月22日

为深入贯彻《省教育厅办公室关于开展2025年江苏省教育系统网络安全宣传周校园日活动的通知》精神,进一步增强师生网络安全意识,提升网络安全防护技能,best365成功举办了2025年度网络安全素养知识竞赛。本次竞赛根据答题得分(大于等于80)随机抽取出获奖者40名(学生30名,教职工10名),现将本次竞赛获奖名单(见下文)予以公布,获奖者请于9月28日前工作时间内至图书馆112室现场领取奖品。
详情可咨询025-85811568袁老师、闫老师。
网络安全与信息化中心
2025年9月22日
